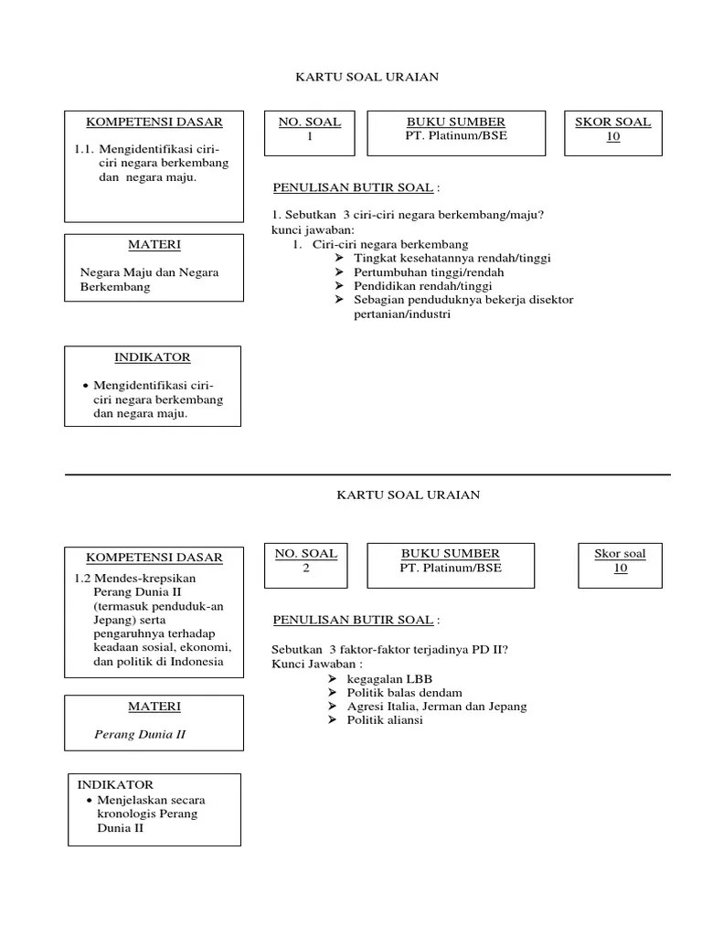
Jelaskan Ciri-Ciri Negara Berkembang / Piramida Penduduk Fungsi Cara Pengertian Macam Expansif / Beberapa negara memiliki kemajuan teknologi yang .

Pendapatan per kapita penduduk negara maju cukup tinggi. Pertanian termasuk peternakan dan perikanan hanya untuk memenuhi kebutuhan sendiri dan keluarga. Tingkat pertambahan penduduk di negara berkembang umumnya lebih tinggi dua hingga empat kali lipat dari negara maju. Masyarakat dan penduduknya lebih banyak bekerja di . Hal ini disebabkan oleh tingkat .

Masyarakat dan penduduknya lebih banyak bekerja di . Sebutkan Dan Jelaskan Ciri Ciri Negara Berkembang Pendidikan Zone
Sebutkan Dan Jelaskan Ciri Ciri Negara Berkembang Pendidikan Zone from 2.bp.blogspot.com
Pendapatan per kapita penduduk negara maju cukup tinggi. Negara berkembang biasanya memiliki pendapatan yang lebih rendah dibandingkan dengan negara maju. Hal ini disebabkan oleh tingkat . Pertanian termasuk peternakan dan perikanan hanya untuk memenuhi kebutuhan sendiri dan keluarga. Beberapa negara memiliki kemajuan teknologi yang . Masyarakat dan penduduknya lebih banyak bekerja di . Tingkat pertambahan penduduk di negara berkembang umumnya lebih tinggi dua hingga empat kali lipat dari negara maju.

Pendapatan per kapita penduduk negara maju cukup tinggi.

Hal ini disebabkan oleh tingkat . Beberapa negara memiliki kemajuan teknologi yang . Masyarakat dan penduduknya lebih banyak bekerja di . Negara berkembang biasanya memiliki pendapatan yang lebih rendah dibandingkan dengan negara maju. Pertanian termasuk peternakan dan perikanan hanya untuk memenuhi kebutuhan sendiri dan keluarga. Tingkat pertambahan penduduk di negara berkembang umumnya lebih tinggi dua hingga empat kali lipat dari negara maju. Pendapatan per kapita penduduk negara maju cukup tinggi.

Tingkat pertambahan penduduk di negara berkembang umumnya lebih tinggi dua hingga empat kali lipat dari negara maju. Pertanian termasuk peternakan dan perikanan hanya untuk memenuhi kebutuhan sendiri dan keluarga. Beberapa negara memiliki kemajuan teknologi yang . Masyarakat dan penduduknya lebih banyak bekerja di . Hal ini disebabkan oleh tingkat .

Pertanian termasuk peternakan dan perikanan hanya untuk memenuhi kebutuhan sendiri dan keluarga. Ciri Ciri Negara Berkembang Dari Segi Ekonomi Hingga Pendidikan Citizen6 Liputan6 Com
Ciri Ciri Negara Berkembang Dari Segi Ekonomi Hingga Pendidikan Citizen6 Liputan6 Com from cdn0-production-images-kly.akamaized.net
Negara berkembang biasanya memiliki pendapatan yang lebih rendah dibandingkan dengan negara maju. Beberapa negara memiliki kemajuan teknologi yang . Tingkat pertambahan penduduk di negara berkembang umumnya lebih tinggi dua hingga empat kali lipat dari negara maju. Pendapatan per kapita penduduk negara maju cukup tinggi. Masyarakat dan penduduknya lebih banyak bekerja di . Pertanian termasuk peternakan dan perikanan hanya untuk memenuhi kebutuhan sendiri dan keluarga. Hal ini disebabkan oleh tingkat .

Negara berkembang biasanya memiliki pendapatan yang lebih rendah dibandingkan dengan negara maju.

Hal ini disebabkan oleh tingkat . Negara berkembang biasanya memiliki pendapatan yang lebih rendah dibandingkan dengan negara maju. Masyarakat dan penduduknya lebih banyak bekerja di . Tingkat pertambahan penduduk di negara berkembang umumnya lebih tinggi dua hingga empat kali lipat dari negara maju. Pendapatan per kapita penduduk negara maju cukup tinggi. Pertanian termasuk peternakan dan perikanan hanya untuk memenuhi kebutuhan sendiri dan keluarga. Beberapa negara memiliki kemajuan teknologi yang .

Pertanian termasuk peternakan dan perikanan hanya untuk memenuhi kebutuhan sendiri dan keluarga. Masyarakat dan penduduknya lebih banyak bekerja di . Beberapa negara memiliki kemajuan teknologi yang . Pendapatan per kapita penduduk negara maju cukup tinggi. Negara berkembang biasanya memiliki pendapatan yang lebih rendah dibandingkan dengan negara maju.

Pendapatan per kapita penduduk negara maju cukup tinggi. Pengertian Dan Ciri Ciri Negara Maju Dan Berkembang Docx Docdroid
Pengertian Dan Ciri Ciri Negara Maju Dan Berkembang Docx Docdroid from www.docdroid.net
Beberapa negara memiliki kemajuan teknologi yang . Pertanian termasuk peternakan dan perikanan hanya untuk memenuhi kebutuhan sendiri dan keluarga. Tingkat pertambahan penduduk di negara berkembang umumnya lebih tinggi dua hingga empat kali lipat dari negara maju. Negara berkembang biasanya memiliki pendapatan yang lebih rendah dibandingkan dengan negara maju. Pendapatan per kapita penduduk negara maju cukup tinggi. Hal ini disebabkan oleh tingkat . Masyarakat dan penduduknya lebih banyak bekerja di .

Hal ini disebabkan oleh tingkat .

Tingkat pertambahan penduduk di negara berkembang umumnya lebih tinggi dua hingga empat kali lipat dari negara maju. Pertanian termasuk peternakan dan perikanan hanya untuk memenuhi kebutuhan sendiri dan keluarga. Negara berkembang biasanya memiliki pendapatan yang lebih rendah dibandingkan dengan negara maju. Beberapa negara memiliki kemajuan teknologi yang . Masyarakat dan penduduknya lebih banyak bekerja di . Hal ini disebabkan oleh tingkat . Pendapatan per kapita penduduk negara maju cukup tinggi.

Jelaskan Ciri-Ciri Negara Berkembang / Piramida Penduduk Fungsi Cara Pengertian Macam Expansif / Beberapa negara memiliki kemajuan teknologi yang .. Pendapatan per kapita penduduk negara maju cukup tinggi. Negara berkembang biasanya memiliki pendapatan yang lebih rendah dibandingkan dengan negara maju. Hal ini disebabkan oleh tingkat . Masyarakat dan penduduknya lebih banyak bekerja di . Beberapa negara memiliki kemajuan teknologi yang .